Discutímos na seção anterior que a perda de energia na superfície por radiação é compensada pela liberação de energia por processos nucleares no interior da estrela.
Esta condição pode ser expressa como:
ondeNosso tratamento da radiação pode ser macroscópico, isto é, não é necessário levar em conta os efeitos quânticos da radiação. A radiação é tratada como um fluído. Entretanto, quando tratarmos da interação da radiação com a matéria, precisaremos adotar uma descrição quântica. Será que a condição de equilíbrio térmico precisa ser satisfeita minuto a minuto, como a condição de equilíbrio hidrostático? Não. Se desligássemos a produção de energia nuclear do Sol, ele continuaria a brilhar, alimentando-se de sua energia gravitacional. Se tornássemos a ligar a geração de energia nuclear em um tempo menor do que o tempo de contração de Kelvin, o Sol não teria sido afetado seriamente pela interferência. Por estes períodos, as energias gravitacional e térmica agem como um reservatório. Entretanto, para tempos maiores do que o tempo de contração de Kelvin, a condição (1.33) precisa ser satisfeita.
A equação (1.33) garante o balanço de energia para a estrela como um todo. Mas o mesmo tipo de balanço tem que ser satisfeito em cada camada da estrela. Um ganho de energia por uma camada e uma perda de energia em outra camada levaria à mudança na estrutura de temperatura no interior da estrela, e portanto tornaria a estrela instável. Consideremos uma camada esférica de raio r e espessura unitária. O balanço de energia nesta camada pode ser escrito como:
onde Lr é o fluxo de energia através da esfera de raio r. O termo da esquerda desta equação representa a perda líquida de energia da camada causada pelo excesso de fluxo deixando a superfície externa, em relação ao fluxo de energia entrando pela superfície interna. O termo da direita representa a energia produzida na camada por processos nucleares.
Uma derivação mais formal usa a definição
de fluxo,
, que é o vetor do fluxo de energia
total (energia por unidade de área), e
a energia total gerada perto do ponto
r, por todas
as fontes, por unidade de massa e por unidade de tempo.
O estado estacionário (invariança) requer que:
A equação (1.34) precisa ser modificada para as
fases curtas mas críticas da evolução estelar
em que as mudanças da estrutura interna são tão
rápidas que as variações nos dois reservatórios menores
de energia estelar - térmica e gravitacional - são importantes.
Nestas fases, não podemos esperar que o fluxo carregue
para fora do volume exatamente a energia gerada por segundo
por reações nucleares dentro do volume, como expresso
pela relação (1.34). Espera-se que a energia perdida
pelo fluxo, a energia gerada pelas reações nucleares,
e o trabalho exercido pela pressão, juntos, determinem
a taxa de mudança da energia interna do volume.
A energia interna por unidade de massa de um gás
ideal é dada por
. O trabalho
exercido pela pressão é dado por
-PdV.
A energia
nuclear liberada por unidade de massa, por unidade de
tempo, é, por definição,
.
A perda
líquida de energia, por uma camada esférica
de espessura unitária, é
, que precisa
ser dividida pela massa da camada,
para dar a perda por unidade de massa. Portanto:
![]() |
![]() |
||
![]() |
|||
![]() |
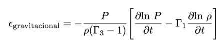
Até agora somente consideramos a condição que o fluxo de energia deve obedecer para balançar a produção de energia. Fisicamente, entretanto, o fluxo é determinando pelos mecanismos de transporte de energia, que podem ser condução — transporte de energia através dos corpos — , convecção — transporte de energia pelo movimento dos corpos —, ou radiação — transporte de energia pelo campo eletromagnético —. Para qualquer destes três mecanismos, é o gradiente de temperatura que essencialmente determina o fluxo de energia. Portanto precisamos considerar estes mecanismos em detalhe para determinar o gradiente de temperatura que irá produzir um fluxo que obedeça à condição (1.34) ou (1.35).
Como o livre caminho médio dos íons e elétrons é tão pequeno, comparados com o raio estelar, a condução pode ser desprezada nas estrelas normais. Existem condições especiais, como o caso de gás degenerado, no interior de estrelas anãs brancas e estrelas de nêutrons, e mesmo no núcleo de gigantes vermelhas, em que o livre caminho médio dos elétrons é muito grande, e a condução por elétrons muito efetiva.
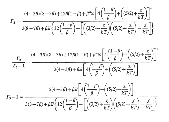
No caso geral, não ideal, não podemos assumir Γ1=Γ3=γ=5/3,
![]() |
![]() |
(1.36) |


Nas próximas seções, consideraremos em detalhe os dois mecanismos de transporte de energia que dominam no interior da maioria das estrelas, radiação e convecção.